MEKANISME REAKSI ELIMINASI E1
Mekanisme Reaksi Eliminasi E1
Pada materi blog kali ini, kita akan membahas lebih lanjut hal terkait dengan Mekanisme Reaksi Eliminasi E1. Sumber yang diambil pada materi blog adalah https://www.google.com/url?sa=t&source=web&rct=j&url=http://home.iitk.ac.in/~madhavr/CHM102/Lec13.pdf&ved=2ahUKEwiHt8HK86XvAhUC8XMBHShYDiAQFjApegQINBAC&usg=AOvVaw3sZN3jjGILPQIosaRXUQBA ..
1. Mekanisme Reaksi Eliminasi E1
Berdasarkan mekanisme reaksi eliminasi E1 diatas maka kita dapat menganalisis hal terkait mekanisme ditinjau dari mekanisme reaksinya diantaranya :- terdapat dua tahap dalam mekanisme reaksi tersebut yaitu tahap lambat dan tahap cepat. Tahap lambat dan cepat nya reaksi dipengaruhi oleh energi yang digunakan pada reaksi.
- gugus pergi yaitu Cl lepas sehingga terbentuk lah karbokation yang merupakan zat antara.
- adanya gugus H2O yang kaya akan elektron menyerang atom H tanpa membawa elektron nya sehingga salah satu atom karbon bermuatan negatif.
- adanya karbanion dan karbokation dalam zat antara sehingga elektron akan ditemukan di daerah kebolehjadian ditemukannya elektron yang hibridisasi nya Sp2 atau membentuk ikatan Pi. Ikatan rangkap ini membentuk suatu produk alkena.
2. Mekanisme Reaksi Eliminasi E1cB
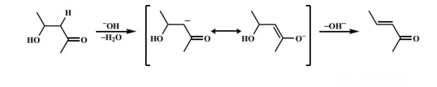
Gambaran umum reaksi E1cB (Elimination Unimolecular cojugate Base) seperti pada gambar. Berdasarkan gambar dapat kita ketahui :
- reaksi eliminasi juga terjadi pada gugus pergi yang buruk dalam hal ini asam bada hidrogen diperlakukan sebagai basa.
- basa konjugasi dari reaksi ini berasal dari senyawa awal, berupa H2O yang basa konjugat nya adalah OH-.
- senyawa awal mengalami deprotonasi sehingga menghasilkan basa konjugat yang akan menyerang atom hidrogen, sehingga terbentuklah karbanion.
- karena senyawa memiliki gugus pergi maka dengan perginya gugus pergi akan terbentuk suatu carbocation sehingga terbentuklah produk alkena.
Contoh reaksinya adalah :
- berdasarkan reaksi diatas basa konjugat dari H2O yaitu OH- yang yang menyerang hidrogen sehingga terbentuk karbanion. - dengan adanya karbanion ini maka senyawa yang tidak stabil dapat mengalami resonansi atau pergeseran elektronnya.
- gugus pergi dari senyawa awalnya lepas sehingga membentuk suatu karbokation yang dengan adanya karbanion membentuk ikatan rangkap.
Permasalahan :
1. Pada zat antara mekanisme reaksi E1 yang berupa karbokation, mungkinkah jika Atom H yang diambil oleh H2O membawa 1 buah elekton? Jelaskan!
2. Pada mekanisme reaksi E1cB pada zat antara terjadi resonansi, apa pengaruh resonansi pada produk akhir nya yg berupa suatu alkena?
3. Basa konjugat pada reaksi E1cB apakah dapat digantikan oleh suatu ion yang bermuatan negatif? Jika bisa tolong jelaskan!



SAYA ROSA ULY JAYANTI NIM A1C119022 ingin mencoba menjawab permasalahan nomor 2
BalasHapus2. Pada mekanisme reaksi e1cB pada zat antara terjadi resonansi sehingga pada produk akhir yang berupa alkena dapat memiliki pengaruh terhadap resonansi tersebut. Dimana resonansi yang pergeseran elektron nya dapat menjadikan susunan ikatannya menjadi rangkap, maka resonansi berpengaruh terhadap produk akhir. Yang mana produk alkena nantinya dapat memberikan isomer yang berupa cis dan trans sehingga dapat ditentukan mana produk yang berupa produk mayor dan mana produk yang berupa produk minor dari hasil reaksi tersebut. Terimakasih
Saya Sucitra Dwi Sanjaya (A1C119019) izin menjawab permasalahan blog Astri nomor 3.
BalasHapusBasa konjugat sebagaimana dalam reaksi e1cB maka dapat memungkinkan ketika kita ganti dengan ion yang bermuatan negatif dimana ion bermuatan negatif termasuk basa karena mengandung elektron yang dapat di sumbangkan oleh dirinya dalam reaksi tersebut.
terimakasih
Saya Aufa Hasnita NIM A1C119040 Izin menjawab permasalahan nomor 1.
BalasHapus1. Pada zat antara mekanisme reaksi E1 tersebut maka pada saat pembentukan karbokation atom H mungkin saja yang dibawa oleh H2O membawa satu buah elektron jika terjadi pemutusan ikatan homolisis yang mana akan membentuk adanya karbon radikal yang mempunyai satu elektron sendiri tanpa adanya pasangan. Hal ini akan menyebabkan terbentuknya senyawa radikal yang reaktif pada reaksi eliminasi E1 tersebut.